Trong đầu tư có rất nhiều chỉ số khác nhau, trong đó có NPV luôn được sử dụng để đánh giá về các mức độ khả thi của một dự án đầu tư. Do vậy bất cứ nhà đầu tư nào muốn thành công thì cũng phải tìm hiểu về chỉ báo này. Vì vậy chỉ báo NPV được dùng để tính toán giá trị hiện tại thuần và là một trong những công cụ quan trọng dùng để phân tích dòng tiền chiết khấu. Để các bạn có thể nắm được chi tiết hơn về chỉ số NPV là gì, bài viết dưới đây của FTV sẽ cung cấp cho các bạn những thông tin về khái niệm, công thức, ý nghĩa và ưu điểm cũng như một số hạn chế của NPV. Các bạn đừng bỏ qua nhé !
NPV là gì?
Khái niệm NPV là gì?
NPV là viết tắt của cụm từ Net Present Value trong tiếng Anh, có nghĩa là giá trị ròng hiện tại, đây là chỉ số thể hiện giá trị toàn bộ dòng tiền của một dự án đầu tư nào đó trong tương lai được chiết khấu về thời điểm hiện tại.
Hiện nay, chỉ số NPV này được sử dụng khá phổ biến trong việc tính toán ngân sách nguồn vốn đang có trong quá trình lập dự án đầu tư để có thể phân tích được lợi nhuận và xem xét về tính khả thi mà nó mang lại.
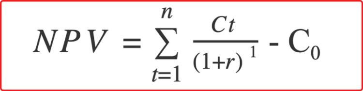
Cách tính chỉ số NPV
Chỉ số là một trong những công cụ được phổ biến trong việc phân tích khả năng sinh lời của dự án đầu tư. NPV chính là sự chênh lệch giữa giá trị hiện tại của dòng tiền vào trừ đi giá trị hiện tại của dòng tiền ra của dự án. Cụ thể hơn, NPV được tính dựa trên công thức như sau:
Công thức tính chỉ số NPV
Trong đó:
Ct là ký hiệu thể hiện dòng tiền ròng của dự án ở thời gian t
C0 là chi phí ban đầu được sử dụng để thực hiện dự án
t là ký hiệu về thời gian để tính toán dòng tiền
r là ký hiệu về tỷ lệ chiết khấu của dòng tiền
n là thời gian thực hiện dự án
Ý nghĩa của chỉ số NPV
Thông qua công thức tính chỉ số NPV, các bạn có thể nhận thấy rằng, chỉ số này có thể tồn tại trong giá trị dương hoặc âm, thậm chí bằng 0. Vậy tương ứng với các giá trị đó, chỉ số NPV thể hiện ý nghĩa gì thì chúng ta sẽ được viết ngay sau đây:
+ Nếu NPV > 0 thì đây là chỉ số lý tưởng thể hiện rằng lợi nhuận do dự án hoặc các khoản đầu tư của bạn đang cao hơn so với chi phí ban đầu đã bỏ ra. Điều này có nghĩa là dự án đầu tư này khả thi, các nhà đầu tư có thể thực hiện được và thu về lợi nhuận cao.
+ Nếu NPV < 0 tức là tỷ suất lợi nhuận mà dự án mang lại nhỏ hơn so với tỷ lệ chiết khấu của nó. Điều này không có nghĩa là dự án này gặp thua lỗ, nó cũng có thể tạo ra thu nhập ròng hay khoản lợi nhuận lớn về kế toán. Tuy nhiên, về tỷ suất lợi nhuận tạo ra nhỏ hơn so với tỷ lệ chiết khấu nên nó được xem là không có giá trị.
+ Nếu NPV = 0 điều này thể hiện rằng dự án hay khoản đầu tư của bạn không lãi nhưng cũng không lỗ tức là hòa vốn.
Như vậy, thông qua nội dung phân tích về ý nghĩa của chỉ số NPV thì các nhà đầu tư nên lựa chọn rót vốn vào những dự án có chỉ số NPV dương và tránh càng xa càng tốt dự án nào có chỉ số NPV âm. Chỉ số này càng cao chứng tỏ dự án càng đem về nhiều lợi nhuận cho các nhà đầu tư.
Ưu điểm của chỉ số NPV
Ý nghĩa của chỉ số NPV
NPV nhận lại được lòng tin của các nhà đầu tư bởi vì chỉ số này có nhiều ưu điểm hơn hẳn so với các chỉ số tài chính khác. Những ưu điểm của NPV có thể kể đến đó là dễ dàng sử dụng, dễ so sánh và dễ dàng tùy chỉnh. Để có thể hiểu rõ hơn về những ưu điểm này các bạn hãy tham khảo nội dung phía dưới nhé.
Dễ sử dụng
Về cơ bản chỉ số NPV đã xác định giá trị hiện tại của khoản tiền thu được trong tương lai nên vô cùng đơn giản, bất kỳ nhà đầu tư nào dù nắm rõ về kinh tế cũng có thể hiểu được.
Dễ so sánh
Mặt khác chỉ số NPV cũng giúp các nhà đầu tư dễ dàng so sánh dự án này với các dự án khác. Bản chất của NPV chính là đem lại khoản tiền lãi hoặc lỗ của dự án đầu tư về thời điểm hiện tại nên mọi người có thể xem xét các con số này một cách dễ dàng. Từ đó đánh giá được tính khả thi của các dự án khác nhau. Việc của nhà đầu tư chỉ là lựa chọn phương án đầu tư có chỉ số NPV dương cao nhất.
Trong trường hợp tất cả các dự án đều có chỉ số NPV là số âm, tức là không có khoản đầu tư nào mang lại giá trị trong tương lai, các bạn không nên bỏ tiền vô ích.
Dễ dàng tùy chỉnh
Một ưu điểm nữa mà chỉ số NPV này mang lại đó là chúng ta có thể tùy chỉnh chỉ số tùy thuộc vào mục đích sử dụng cũng như nhu cầu về tài chính cụ thể của bạn. Ví dụ như trong trường hợp dự án có thêm những điều rủi ro, các bạn có thể điều chỉnh tỷ lệ chiết khấu để dễ dàng so sánh và đánh giá nhanh chóng hơn.
Một số hạn chế của chỉ số NPV
Ưu điểm và nhược điểm của chỉ số NPV
Chỉ số này mang đến nhiều lợi ích cho các nhà đầu tư là vậy, thế nhưng nó cũng tồn tại một số mặt hạn chế. Nhược điểm của chỉ số NPV này đến từ việc nó khó có thể ước tính được chính xác, không tính đến chi phí cơ hội, cũng không thể hiện được bức tranh tổng thể của các dự án và không tính đến quy mô của dự án đầu tư. Cụ thể như sau:
- Khó ước tính được độ chính xác
Các bạn biết đấy, theo cách tính chỉ số NPV thì các nhà đầu tư cần phải được biết chính xác về tỷ lệ chiết khấu của từng dòng tiền cụ thể cũng như từng thời điểm chính xác của dòng tiền đó. Tuy nhiên, vấn đề này là điều rất khó có thể xác định được. Chính vì vậy mà việc tính toán chỉ số NPV cũng không thể đem đến kết quả chính xác hoàn toàn.
- Không xem xét đến các chi phí cơ hội
Việc tính toán chỉ số NPV giúp các nhà đầu tư so sánh được các dự án trong cùng một thời điểm với nhau. Mặc dù vậy, NPV lại là chỉ số không xem xét đến các chi phí cơ hội của khoản đầu tư đó. Chi phí cơ hội được nhắc tới ở đây chính là việc không có nguồn vốn để đầu tư cho các dự án khác và không có lợi nhuận cao hơn trong tương lai sắp tới. Nếu như xem xét đến chi phí cơ hội này thì phương án đầu tư với dự án đã có chỉ số NPV dương cao nhất ở thời điểm hiện tại cũng chưa chắc đã được nhà đầu tư lựa chọn.
- Không thể hiện được bức tranh tổng thể của toàn dự án
Một điểm hạn chế nữa của chỉ số NPV này đó là việc nó không thể hiện được bức tranh tổng thể của các dự án, các lợi ích xã hội đem lại cũng như những rủi ro, mất mát của nó. Để khắc phục nhược điểm này thì bên cạnh chỉ số NPV các nhà đầu tư nên xem xét thêm nhiều chỉ số khác như tỷ lệ hoàn vốn nội bộ IRR…
- Chỉ số NPV không tính toán đến quy mô lớn hay nhỏ của dự án đầu tư
Cuối cùng, chỉ số NPV không tính đến quy mô của dự án đầu tư. Để rõ hơn về điều này, chúng tôi đưa ra cho các bạn một ví dụ cụ thể như sau:
Nhà đầu tư xem xét đến hai dự án là dự án A và dự án B. Dự án A cần 5 tỷ đồng tiền vốn đầu tư và tạo ra chỉ số là 1,2 tỷ đồng. Trong khi đó, dự án B cần 2 tỷ đồng vốn đầu tư để có thể tạo ra chỉ số là 0,8 tỷ đồng. Như vậy trong trường hợp này, nếu dựa vào chỉ số NPV thì các nhà đầu tư sẽ yêu thích dự án A hơn do nó tạo ra chỉ số NPV cao hơn. Tuy nhiên, dự án B lại mới chính là dự án đem về lợi nhuận cao hơn trên tổng số tiền vốn đầu tư ban đầu.
Chính vì vậy chỉ số NPV có mặt hạn chế là không tính toán đến quy mô của dự án đầu tư.
Kết luận
Như vậy là thông qua bài viết của chuyên mục kiến thức FTV chia sẻ, các bạn đã có cái nhìn cụ thể nhất về chỉ số NPV là gì, cách tính, ưu điểm và hạn chế của chỉ số này. Đây thực sự là một trong những chỉ số quan trọng giúp các bạn có thể đánh giá được chất lượng của dự án. Mặc dù vậy, chỉ số này cũng tồn tại những nhược điểm, mặt hạn chế nhất định. Vì vậy để có thể nhìn nhận đúng tiềm năng của dự án, bạn đừng quên sử dụng thêm những chỉ số kỹ thuật khác trong đầu tư để đưa ra quyết định đầu tư đúng đắn nhất nhé !
FTV - Đơn vị chuyên cung cấp kiến thức về đầu tư chứng khoán và hàng hóa phái sinh uy tín tại Việt Nam
Công ty Cổ phần Đầu tư và Công nghệ FTV hiện nay đang từng bước phấn đấu để trở thành định chế tài chính uy tín mang lại nhiều giá trị cho các đối tác, khách hàng và các thành viên của mình.
FTV luôn có đội ngũ chuyên gia tư vấn nhiều kinh nghiệm, có thể tư vấn kiến thức cho các bạn 24/7 về các cách thức đầu tư sinh lời và cách để có thể phòng ngừa rủi ro hiệu quả nhất.
Nếu còn bất kỳ thắc mắc hay câu hỏi vướng mắc gì trong quá trình đầu tư chứng khoán, các bạn có thể liên hệ ngay với chúng tôi bằng cách gọi trực tiếp đến số Hotline 0983 668 883 hoặc truy cập vào website ftv.com.vn để được hỗ trợ trực tiếp.
Trên đây là những thông tin về chỉ số NPV là gì, hy vọng đã giúp các bạn hiểu rõ hơn về khái niệm này để có thể áp dụng trong quá trình đầu tư an toàn và hiệu quả.
Xem thêm:
.png)





